How To Think in Probabilities



Ever wish your trading could be more consistent, but somehow, your results don’t live up to expectations?
Despite following a strategy, sticking to your setups, and doing everything “right”…
…you’re left wondering why the progress just isn’t there.
Or worse yet, maybe you’ve had a great run, only to watch it vanish after a string of losses!
Sound familiar?
The truth is, it’s not always about the trades themselves.
Sometimes, it’s more about the way you interpret the math, how to think in probabilities, and the psychology behind trading.
Understanding that is exactly what this article is about!
While most traders focus on setups, entries, and indicators, few take the time to understand the deeper forces that truly drive long-term profitability.
If you don’t know how to think in probabilities… or how you can lose ten trades in a row while still be doing everything right… Then it’s only a matter of time before your confidence starts to crack.
In this article, I’ll cover the key concepts every trader needs to know to trade with confidence, especially when things don’t go your way in the short term.
Here’s what we’ll explore together:
- What probabilities are, how they work, and why they drive everything in trading
- The concept of expectancy and how you can be profitable even with a low win rate
- Why losing streaks are normal, and how to calculate the odds of them happening
- The truth about randomness, outcome bias, and how to stay focused on process over results
- How to shift your thinking from individual trades to trade sequences
- Why knowing your numbers gives you the confidence to weather drawdowns and stay consistent
Whether you’re new to trading or looking to tighten up your edge, understanding these concepts will completely change the way you approach the market.
Sound good?
Let’s dive in!
How to Think in Probabilities: How Does Probability Work?
Okay, so let’s start with what probabilities are.
Think about when you place a trade. You’re making a decision which is, by nature, uncertain.
No matter how perfect the setup looks, there’s always a chance it won’t work out.
The specific details are what probability can teach you.
It helps you make sense of the uncertainty and structure your thinking so you can stay grounded in logic instead of emotions.
Let me explain.
At its core, probability is a way to measure the likelihood of something happening.
It ranges from 0 to 1, with 0 meaning “never” and 1 meaning “always.”
If something has a probability of 0.5, or 50%, it means it should happen about half the time over a large number of attempts.
You’ve likely already met probability, without even realizing it.
The most common example to think about is flipping a coin.
There are only two outcomes — heads or tails — and both are equally likely.
The probability of getting heads is 1 out of 2, or 50%.
Simple enough, right?
But things get more interesting when probability is applied to real-world decisions, especially in trading.
How does it work in practice?
Let’s say you’ve got a strategy that, based on your backtesting or trading journal, wins 60% of the time.
That doesn’t mean every 10 trades will give you exactly 6 winners and 4 losers, though.
What it means is that over time, as you take more trades, that 60% win rate will reveal itself.
But not necessarily in the short term.
In fact, randomness can create streaks that make it feel like your strategy isn’t working at all, even when it is!
That’s where understanding probability can be a game-changer.
It helps you stay calm and confident when your short-term results don’t reflect the long-term edge you know you have.
You Already Use It Every Day
Even outside of trading, probability is built into the way you make regular decisions.
Take a weather app as an example, when it says there’s a 70% chance of rain, you might take an umbrella just in case.
70% doesn’t mean it will rain, but it’s more likely than not.
And guess what, when it doesn’t rain, you don’t delete the app, right?
You understand that the forecast just didn’t work out this time.
It’s the same with trading.
Just because a setup fails doesn’t mean it was a bad trade.
It may have been a high-probability setup that simply didn’t work this time.
That’s the nature of probability.
It plays out over a large sample size, not in single events.
Why It Matters
Once you treat your trades as probabilities rather than certainties, everything changes.
You stop obsessing over individual outcomes and start thinking in terms of long-term results.
That shift in mindset gives you the emotional resilience to handle drawdowns, stick to your plan, and trust your edge.
It also helps you manage your risk properly.
You’ll know not to risk too much on any one trade because even high-probability trades can lose.
Instead, you start thinking in terms of expected outcomes, not guaranteed ones.
Once you embrace probability as a tool rather than a guess, you stop seeing the market as a puzzle you have to solve and start seeing it as a game of strategy, where the odds don’t need to be perfect to win…
…just tilted slightly in your favor over time.
This should be exciting news because the more you dive into this, the more you’ll understand that YOU are potentially what is getting in the way of your trading system, rather than there being something wrong with it!
Let’s expand on the idea.
How to Think in Probabilities: What is Expectancy and Why Does It Matter?
You’ve probably heard people talk about win rates, risk-to-reward ratios, and consistency, but if you really want to understand whether your strategy works, you need to understand expectancy.
Expectancy is the number that brings all those stats together and tells you what you can realistically expect to make (or lose) per trade in the long run.
Let’s explore further.
Expectancy Defined
Expectancy is the average amount you can expect to win or lose on each trade.
It combines your win rate and your average reward-to-risk ratio into one formula.
That might sound complicated, but once you see it in action, it becomes simple and incredibly useful.
Here’s the formula, write this down somewhere for now:
(Winning % × Average Win) – (Losing % × Average Loss) = Expectancy
With that in mind, let’s break that down with some real examples so you can see how it works.
Example 1: A high win rate with small profits
Let’s say you win 70% of your trades, and on each winning trade, you make $100.
Your losses, though, are $200 each.
Even with a high win rate, this strategy might not be profitable.
Let’s take a look.
Expectancy = (0.7 × 100) – (0.3 × 200)
= 70 – 60 = $10
Okay, so on average, you’d make $10 per trade.
It’s still positive, but not by much, and if that win rate dips even slightly, you could end up losing money overall.
Can you see how this supposedly high win rate doesn’t call for much celebration?
Its usefulness becomes much clearer with a better idea of expectancy.
Let’s take a look at another example.
Example 2: A lower win rate with bigger rewards
Now let’s flip it.
Imagine you only win 40% of the time, but each win gives you $300, while losses are capped at $100.
Expectancy = (0.4 × 300) – (0.6 × 100)
= 120 – 60 = $60
Even though you lose more often than you win, your expectancy is much higher, $60 per trade on average.
That’s the power of a good reward-to-risk ratio.
But the biggest advantage?
There’s way less pressure.
You don’t need to be right all the time!
Why expectancy matters more than win rate alone
Most traders get too focused on win rate, for a reason that’s easy to understand…
…it feels good to win often!
But a high win rate doesn’t automatically make you profitable.
If your losses are bigger than your wins, a high win rate can still lead to negative expectancy, which means you slowly bleed money.
I’ve seen many unsuccessful traders who prioritise being right over being profitable!
Expectancy tells you whether your strategy will be successful in the long term, which is much more important than focusing on short-term wins.
So next time you see someone bragging about their win rate, ask them what their expectancy is!
The Balance between Win rate and Risk-to-reward
Like all things in life, you need to find a balance.
The sweet spot for you will depend on your personality and trading style, which is a key to thinking in probabilies.
Some traders prefer more frequent wins and smaller gains.
Others are fine with lots of small losses in exchange for occasional big wins.
There’s no particular “right way”; the key is that your expectancy stays positive!
Once you know your numbers, you can shape your strategy around them.
If your win rate is low, you’ll need higher reward-to-risk trades.
If your win rate is high, you can afford a bit less in return, but you’ll still need to keep an eye on risk.
See how expectancy gives you a clear lens to look through?
It helps you make decisions based on probability, not hope.
Once you start tracking it, you’re no longer guessing whether your strategy works; you’ll have evidence in front of you!
Losing Streaks Happen More Often Than You Think
There’s nothing quite as frustrating as hitting a string of losses.
Even if you know your edge is solid, doubt starts to creep in after a few back-to-back red trades…
But the thing is: losing streaks are completely normal.
In fact, they’re expected!
The good news is, you can calculate losing streaks.
In this next section, let’s look at how you can work out the chances of running into a losing streak, based on your win rate and the number of trades you take.
Once you understand how it plays out, you won’t need to be surprised by them anymore…
…you can start preparing for them instead!
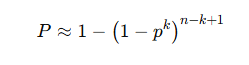
How to Calculate the Odds of a Losing Streak
We’ll use a simple but surprisingly accurate approximation formula to calculate the probability of hitting at least one losing streak, based on a certain length in a set number of trades.
Here’s the formula:
Where:
- P is the probability of seeing at least one losing streak of length k
- p = your loss rate in decimal form
- n is the number of trades
- k is the length of the losing streak you’re trying to measure, aka 5 losses in a row, etc.
I know it looks confusing as a formula, so let’s do an example.
To find P ( The probability ) of a 5 losing streak with a win rate of 30 percent over 50 trades…
The equation becomes:
Probability = 1-(1-Loss Percentage^Loss Streak)^ Number of trades – Loss Streak + 1
P= 1-(1-0.7^5)^50-5+1
This becomes 1-(1-0.7^5)^46
Before I go further, the 0.7 number comes from the need to put in your loss rate, not your win rate; therefore, if your win rate is 30%, your loss rate must be 70%, which in decimal format is 0.7
Therefore, over 50 trades, your chance of a 5-loss streak with a 30% win rate is approximately 99%
99% means it will happen at some point!
However, as long as your expectancy is positive (as previously discussed), that doesn’t mean the system is broken.
Let’s plug in some more numbers and see how often losing streaks really happen, even when you’re doing everything right!
Example 70% Win Rate, Probability of a 5-Losing Streak
Let’s assume you have a 70% win rate and you are trying to find the chance you’ll have a 5 losing streak within 50 trades.
So the loss rate is 0.3 (1 minus 0.7), the losing streak is 5… and the number of trades is 50.
p=0.3 , k= 5 , n=50
Plugging it in:
P=1-(1-0.3^5)^46
P=0.1058
P=10.6% chance of a five-loss streak – not impossible.
OK, let’s change it to a 10-loss streak…
Example 70% Win Rate, Probability of a 10-Losing Streak
All that needs to change with this equation is the k value.
P=1-(1-0.3^10)^41
P=0.00024
P=0.02% Chance of a 10-loss streak occurring at a 70% win rate.
Rare!
What this tells you is that if a 10-loss streak actually did occur, it would probably be time to go back and see if you are using your system exactly as it’s designed.
Let’s do a couple more for some lower win rates.
Example 40% Win Rate, Probability of a 5-Losing Streak
P=1-(1-0.6^5)^46
P=0.9758
P= 97.6% Chance you’ll encounter a 5 losing streak within 50 trades.
That’s quite the insight when you consider 40% isn’t that low a win rate, right?
It means that this event is statistically likely to happen.
It doesn’t mean the system is faulty, but it is incredibly useful information to have when you eventually come across this streak.
Example 40% Win Rate, Probability of 10 Losing Streak
OK, what about the odds of a 10 losing streak?
Surely there is almost no chance over 50 trades…
But let’s take a closer look.
P=1-(1-0.6^10)^41
P=0.2201
P=22% chance that you’ll come across a 10-losing streak!
22%!
I bet you didn’t think it would be that likely, right?
However, this is a great example of the realities you’ll face when trading that system.
You’ll incur some drawdown, but as long as your expectancy is positive, you’ll come out the other end of it…
Why It Matters
Once you realise how common these streaks are, they stop being so threatening.
A losing streak doesn’t necessarily mean your system is broken…
…it just means your system is playing out exactly as probability says it could!
So don’t panic when the reds stack up.
If your win rate and risk-to-reward are solid, the losses can be taken as part of the bigger picture, not the whole story.
Stick to the plan, manage risk, and remember: it’s not about the next trade.
It’s about the next 50, 100, 500.
I invite you to play around with these numbers and test them on larger scales: 100+ trades or more, to gain better long-term insight into what may occur on your trading journey!
The Outcome of a Single Trade Is Random
So, how does all this come together?
One of the biggest mental shifts you need to make as a trader is this:
You can do everything right and still lose.
It doesn’t have to be a flaw in your strategy…
It doesn’t have to be a sign you’re bad at trading…
…it’s just the nature of the game.
The outcome of any single trade is entirely random, even if the odds are in your favor.
Why Randomness Matters
Let’s say you’ve got a strategy with a 60% win rate.
You now know that this doesn’t mean 6 out of every 10 trades will win in order.
The market doesn’t pay attention to what’s “due.”
You could get a string of 5 losers, then hit 7 winners in a row.
The probabilities play out over longer time periods, not in neat, predictable patterns.
In the short term, randomness is king.
And that’s exactly why you can’t judge your edge based on a single trade, or even a handful.
It’s much more important to judge whether or not you followed your process.
That’s what really matters.
Outcome Bias: The Mental Trap to Avoid
So what’s the most common trap most traders fall into?
Well, they judge single trades by their individual results!
Is it a win?…
…it must’ve been a good trade.
Is it a loss?…
…well, I must’ve done something wrong.
This is what I like to call outcome bias, and trust me, it’s dangerous!
It completely ignores how to think in probabilities, as it focuses only on what happens after.
But step back, and you can see the result of any particular single trade is mostly noise.
It’s random.
It doesn’t necessarily have anything to do with the quality of your process.
Let me give you an example.
Imagine a trader has a rule: risk 1% per trade. Their stop loss is set based on structure and not moved once the trade is live.
One day, they enter a trade, but the price starts pushing toward their stop quicker than expected.
They panic and move the stop a little further and tell themselves they are “Just giving it some more room.”
The market pulls back… and then reverses.
Boom!
Profit hits.
They just turned a potential loser into a winner.
Feels good, right?
They tell themselves, “Maybe I should give my trades more room from now on…”
But that would be a mistake!
That thought is a direct result of outcome bias.
Looking back, the decision to move the stop was emotional.
It broke their rule…
It wasn’t backtested…
…but the outcome was a win.
A win that, unfortunately, gave validity to a bad habit (emotional trading)!
So, fast forward two weeks.
Same setup.
The market pushes against the trader again.
Feeling confident, they shift the stop again… maybe even a little more this time.
But what happens?
The line keeps going…
…and going!…
What should’ve been a 1% loss is now 3%, maybe 4%.
This one trade eats away at what took three winners to build!
Well, now the trader is shaken and frustrated.
They may even end up stuck in a cycle, all because one random win gave them permission to ignore their edge.
See how detrimental this can be?
So what’s the solution?
Consider process over outcome!
Always remember:
A good trade is one that follows your plan, even if it loses.
A bad trade is one that breaks your rules… even if it wins!
If you let random outcomes shape your behavior, you’ll drift away from your edge, and it’ll catch up with you in the end.
When your habits get reinforced by randomness, you build a system around hope… not thinking in probabilities.
And while outcome bias is subtle, it is undoubtedly deadly.
The best traders learn to detach from individual results and stay loyal to the process.
Because they understand that’s where the consistency can be found.
Your job isn’t to guess which trade will win.
Your job is to execute a strategy that wins over time.
Random short-term, consistent long-term
The best way to visualise this is to imagine flipping a biased coin.
Let’s say heads wins you $2 and tails loses you $1.
You’re trading with an edge.
The math is on your side.
But even then, you might flip five tails in a row.
It doesn’t mean the coin is broken!
It just means you’re working through short-term randomness.
Hold out long enough, and that edge becomes clearly visible again.
The more trades you take, the more the law of large numbers kicks in, and the more consistent your results become.
So when you’re tempted to overreact to one loss or one win, remember: the result of a single trade doesn’t mean anything by itself.
But sticking to your edge over a series of trades?
That is everything.
So, how do you avoid undoing all this hard work?
One practical tip is to think in groups of trades.
Let’s take a look.
Thinking in Groups of Trades
If there’s one concept that can completely change the way you trade and how you handle the emotional ups and downs, it’s this:
Stop thinking about individual trades and start thinking in groups of trades instead.
The problem with single-trade thinking
Most traders get overly focused on what just happened.
Maybe you take a loss and feel defeated.
Or perhaps you take a win and feel invincible!
Either way, you start attaching meaning to every outcome, thinking each trade is a reflection of your skill or lack of it…
…but this is where reality starts to break down.
Because no matter how good your edge is, the outcome of one trade is basically a coin flip.
When you’re emotionally invested in every single result, you’re constantly swinging between confidence and doubt.
It’s a destructive pattern that leads to revenge trading, skipping setups, doubting your system, and ultimately, blowing up your edge.
Your edge only reveals itself over time
Approach trading like a manager running a casino.
You don’t need to care about someone’s hand at the blackjack table.
It’s all about the thousands of hands over time, because that’s where their edge plays out.
You should structure your trading strategy in the same way.
If your system has a positive expectancy, meaning it’s mathematically profitable over time, then your job is to execute that system across a large enough sample size.
It’s only by doing so that your edge can start to shine through!
Not after 3 trades…
Not after 10 trades…
But after 50, 100, even 500+ trades.
Why This Shift Matters
Thinking in probabilities by trade groups instead of single trades helps you:
- Stay emotionally stable during drawdowns
- Avoid overreacting to random outcomes
- Build confidence in your process
- Focus on execution, not just results
So the next time you hit a losing streak or get a lucky win, take a step back and ask:
Am I getting hung up on single trades, or…
…am I following my edge over a series of trades?
Honestly, this should be liberating, that newfound knowledge that when in drawdown, the chances are it means nothing!
You aren’t doing anything wrong, you didn’t suddenly become a bad trader… It’s simply statistical odds playing out.
So, it gives you a permit to trade freely and relentlessly, right?
Well, that brings me to my last point…
Knowing your numbers!
How to Think in Probabilities: Know Your Numbers
You can have the best setup, the cleanest chart, and a strategy with edge, but if you don’t know your numbers… you’re flying blind!
It’s the numbers that give you clarity.
Numbers take the guesswork out of trading and help you separate emotion from execution.
It’s down to them that backtesting, journaling, and performance tracking all come into play, too.
Because while the outcome of a single trade might be random, your long-term results are not!
Instead, they’re built on data.
And whether you like it or not, data shows us reality.
Why Backtesting Matters
Backtesting isn’t about finding the perfect strategy.
It’s about understanding how your strategy performs over time.
When you backtest properly, you uncover key stats that I have mentioned in this article:
- Your win rate
- Your average reward-to-risk ratio
- Your expected maximum drawdown
- Your expectancy per trade
These numbers can tell you what to expect…
…not just when things are going well, but when they’re going wrong, too!
If your backtesting shows you’re likely to have a 6-trade losing streak once every 100 trades, then when it happens, you won’t be surprised.
Instead, you’ll actually be prepared.
In this sense, backtesting gives you a baseline.
When the live results match that baseline, it builds confidence.
If they deviate, it tells you something might need adjusting.
But either way, it helps you trust the process.
So already you can see how data gives you a map of where you are, whether something seems off, or if the course is clear to continue moving forward!
Confidence Comes From Data
You know that feeling when you hit a drawdown and start questioning everything?
We’ve all been there, me included!
It’s normal, but it’s avoidable.
However, when you know your system has gone through similar stretches before and remains profitable, you’re much more likely to stay the course.
The market is uncertain, but your strategy doesn’t have to be.
When you’ve seen your edge play out over hundreds of trades in a backtest, it becomes a lot easier to push through temporary slumps in live conditions.
This is key to managing expectations.
Managing expectations
Let’s be honest: most traders don’t blow up because their system doesn’t work; they blow up because they couldn’t handle the emotional swings that come with not knowing what to expect.
If you know your system’s historical drawdown is 12%, you won’t panic when you’re down 10%.
But if you don’t know that number?
Every dip feels like a disaster!
You start changing systems, altering your approach mid-drawdown, or abandoning setups that are still valid.
Knowing your numbers gives you emotional discipline because you’re not guessing.
You’re following a framework that’s proven itself over time.
So before you ask whether your strategy “works,” ask yourself:
Do I know what my system actually does?
Well, if you don’t… track it!
Backtest it!
Understand it inside and out.
Because the more you know your numbers, the more power you have over your results.
Conclusion
By now, you can probably see that trading isn’t just about finding the right setup.
It’s just as much about understanding the numbers behind your edge and the mindset needed to stick with it through the ups and downs.
Which is the key to on how to think in probabilities.
Remember that the market will always throw randomness your way.
You’ll experience losing streaks, surprise wins, setups that should’ve worked but didn’t, and trades that had no business winning but did anyway.
It’s part of the statistics game.
What separates consistent traders from frustrated ones is how they interpret those outcomes and, more importantly, how they respond.
If you want to build long-term consistency, this article should give you the mental and mathematical foundation to do just that.
Here’s what you’ve taken away:
- A clear understanding of probabilities and how they influence every trade you take
- How expectancy ties your win rate and risk-reward together to shape profitability
- Why losing streaks are inevitable and how to calculate the odds of them happening
- The danger of outcome bias, and why following your plan matters more than short-term results
- How to think in groups of trades rather than judging each trade in isolation
- The importance of knowing your numbers through backtesting and tracking so you can manage expectations and stay grounded
Trading with confidence doesn’t come from avoiding losses; it comes from understanding why they happen, how often they happen, and what they really mean.
Now I’d love to hear from you.
How has thinking in probabilities changed your approach to trading?
Have you experienced outcome bias or a tough losing streak recently?
Drop your thoughts in the comments below.
Source link