Maximize Your Trades: The Definitive Guide on How to Calculate Risk to Reward Ratio in Forex!







Additionally, the profit/loss ratio highlights the success of trading strategies, emphasizing the need to maintain a sound ratio for stability in returns. By effectively utilizing the risk to reward ratio calculator, alongside the profit/loss ratio, investors can improve their decision-making and enhance their chances of success in the financial markets.
Overall, knowing how to leverage the risk to reward ratio calculator is vital for navigating the complexities of trading with confidence.
What is the risk-reward ratio ?
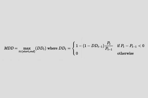
The risk is measured as the percentage maximum drawdown (MDD) for the specific period:

where DDt, DDt-1, Pt and Pt-1 refer the drawdown (DD) and prices (P) at a specific point in time, t, or the time right before that, t-1.

The risk-return ratio is subsequently defined and evaluated, for a particular timeframe, as:

What is a good risk to reward ratio?
A favorable risk-to-reward ratio is crucial for effective trading. A widely accepted guideline is that for every trade, the potential reward should be a minimum of three times greater than the risk involved. This translates to a risk-reward ratio of at least 1:3.By adhering to this principle, traders can enhance their profit potential while minimizing losses.
It’s essential to carefully assess each trade, ensuring that the expected gains significantly outweigh the potential drawbacks. Striving for this ratio can lead to more strategic decision-making and ultimately improve overall trading performance.
Why the higher the risk the higher the return?
There is a fundamental relationship between risk and return in financial investments, which can be described as a positive correlation. In essence, the greater the level of risk taken, the higher the potential for both profit and loss. This principle is often referred to as the risk-reward tradeoff.
When investors choose to engage in ventures with minimal uncertainty or risk, they typically see lower returns on their investments. This is because safer investments, such as government bonds or savings accounts, come with less volatility and predictability, leading to a more stable, yet modest, yield over time. On the other hand, investments that carry higher levels of uncertainty—such as stocks, real estate, or emerging markets—offer the potential for greater returns.
These investments are susceptible to market fluctuations, economic shifts, and other variables that can significantly impact their value. As a result, while the possibility of substantial profits exists, so too does the risk of considerable losses, making this type of investment inherently more volatile.
In summary, understanding the risk-reward balance is crucial for investors. It emphasizes that while lower-risk investments may provide security and certainty, they often yield lower returns. Conversely, those willing to navigate the ups and downs of higher-risk opportunities can potentially reap the benefits of higher financial rewards, albeit with the accompanying risk of loss.
What constitutes an effective Profit/Loss Ratio?
Understanding the Profit/Loss Ratio is crucial for both novice and experienced traders alike.Essentially, this ratio measures the relationship between the profits generated from successful trades and the losses incurred from unsuccessful ones.

Naturally, a higher ratio is preferable, as it indicates that the earnings from winning trades significantly outweigh the losses from losing ones. Numerous trading literature and guides suggest aiming for a minimum of a 2:1 ratio, meaning that for every dollar lost, traders should aim to earn at least two dollars in profit.
For instance, consider a trading strategy that has an average gain of $750 per transaction and an average loss of $250 per transaction over the same timeframe. In this scenario, the profit/loss ratio would be calculated as follows: $750 (average profit) divided by $250 (average loss), resulting in a profit/loss ratio of 3:1.
This means that the trader is earning three times more from successful trades compared to what they are losing on unsuccessful ones, highlighting the importance of maintaining a favorable profit/loss ratio for long-term success in trading. By ensuring that your profits significantly outpace your losses, you can enhance your overall trading performance and improve your chances of sustained profitability.
Now that you’ve read this article about calculating the risk-to-reward ratio in forex, consider exploring more intriguing topics. If you’re interested in expanding your knowledge and want to learn more about “how to calculate the risk-to-reward ratio,” be sure to check out our more comprehensive article on the subject. Embark on your journey into the complexities of the risk-to-reward ratio indicator for MT5!
Source link